What Are Dolby Atmos-Enabled Speakers?
Atmos, Dolby’s next generation object-oriented audio format, is about to make its formal debut in the home theater market. You currently have two options to take advantage of this technology, both of which involve adding more speakers to your current 5.1 or 7.1 speaker system via one of these two options.
1. In-ceiling or ceiling mounted speakers firing down at the listening area
2. Atmos Up-firing Elevation speakers placed on top of your front/rear speakers to reflect sound off your ceiling
Editorial Note About Dolby Atmos
Dolby Atmos is a new technology developed by Dolby Laboratories that is said to add an unprecedented degree of realism to movie soundtracks. Dolby Atmos is an object based audio format that allows sound mixers to accurately define the specific location of an audio object in a 3 dimensional listening space. This represents a significant departure from the confines and limitations of channel based audio mixing and playback formats. It creates the vertical sense of space and layer of sound above the listener that they claim is essential for a lifelike, believable sonic event.
For more information see: Dolby Atmos For Home Theater Explained
This article focuses on option #2, the Dolby Atmos Elevation speaker and we attempt to get down into the details on how they work. First, it’s important to mention that option #2 is only viable if you have flat reflective ceilings (sheetrock or other hard smooth reflective surface) and your ceiling height is between 8 and 14 ft. If you have higher vaulted ceilings and/or you have an acoustically treated room with absorption on your ceilings, or your unable to standmount your surround speakers, you will have to use option #1.
Dolby Atmos Elevation Speaker Explained Part 1
Dolby Licensing Speaker Technology
This is the first instance we are aware of where Dolby is actually licensing speaker technology to loudspeaker manufacturers in the consumer marketplace. Make no mistake, if you buy an Atmos Elevation speaker and it’s marked as such, the loudspeaker manufacturer is paying a licensing fee to Dolby who holds the patent. The Dolby licensing fee is only disclosed to manufacturers under NDA (Non Disclosure Agreement) and is not public knowledge.
See: Dolby Atmos Elevation Speaker Patent
That being said, it’s important to note that if you install Atmos Elevation speakers today, they will likely NOT be compatible with future competing surround formats such as Auro 3D and DTS UHD. In those cases you will likely have to install additional speakers since they will rely on alternative options. This is something to consider if you plan on upgrading your home theater system but want to accommodate the other formats as they work their way into AV receivers and processors.
Editorial Note on Dolby Atmos Elevation Speaker Patent
Dolby has applied for at least six patents relating to the Atmos Elevation speaker technology though none of the patents have been granted at the time this review has published. There has been plenty of prior art for upward firing speakers which makes that portion of their patent rather weak but they do have a good case for getting the patent on the associated circuitry and firmware for Atmos.
Excerpt from up and coming interview with Auro 3D regarding Dolby Atmos Elevation Speakers:
Speakers systems developed to create the height dimension all around the listener by bouncing back the sound from the ceiling using psycho acoustic effects (notch filters) to trick our brain, are NOT the way to create a natural sound experience and as such NOT supported by the Auro-3D format.
Dolby Atmos Elevation
Speaker - Courtesy of Dolby Labs
Shown above is a generic diagram of a typical Atmos-enabled (aka. Atmos Elevation speaker) proposed by Dolby. Here we have two initial concerns. First, the driver is recessed into the baffle, which will have issues with diffraction that need to be addressed. Savvy speaker manufacturers will either use absorptive foam inserts or radiused/angled sidewalls to ameliorate the diffraction. The foam also helps to narrow the high frequency beam. It’ll be interesting to see who does and who doesn’t. We know for sure that Atlantic Technology gets it as evident by the picture below.
Atlantic Technology 44-DA Atmos Speaker Module (MSRP: $499/pr)
Second, we wonder how the acoustical interference at the lower frequencies (100-1kHz) where sound is directional and the common frequencies between the Atmos driver and front firing drivers overlap will play out for critical listening and if this will change depending on how close the listener is to the Atmos speaker.
Dolby Atmos Diagram - Courtesy of Pioneer
As you can see in the diagram above of the Pioneer Atmos Elevation speakers, the sound is supposed to fire up at the ceiling and bounce back down towards the listening area. The Pioneer approach integrates the Atmos driver into the cabinet and is sold as one unit. The driver is actually flush mounted into a 20 degree angled baffle instead of recessed, which ameliorates our aforementioned concerns about diffraction.
In addition to integrated solutions, some manufacturers are offering Atmos speaker add-on modules to place on-top of your current front and/or rear speakers like this example below from Definitive Technology. Please note we are huge fans of Definitive Technology speakers and only use this example because they are one of the few brands on the market with productized Atmos modules. We are hopeful that they will expand their Atmos product line with higher end options like we’ve seen from some of their competitors.
Definitive Technology A60 Atmos Module (left pic); A60 Integrated with 8060-ST (right pic)
Note this little add-on module (shown above) contains a single 3” paper treated woofer, but retails for a whopping $500/pr. That’s a bit spendy in our book, especially since there appears to be no special magic applied to the physical speaker to justify the price. We suspect licensing the “Atmos Elevation” moniker plays some role in the final cost. It’s prudent to note that there will be higher end alternatives released by several manufacturers such as the recently announced 2-way coaxial solution from Atlantic Technology and the 4 x 2” Scan-Speak tweeter array from Triad.
Triad Bronze LR-H Dolby Atmos Elevation Speaker (MSRP: $1000/ea)
The four 2" Atmos drivers of the new Triad LR-H Atmos Elevation speaker are designed to combine acoustically for tight dispersion and good power handling. They're made by Scan-Speak, whom make some of the best drivers in the world. The tight pattern on the ceiling is said to yield a better effect, without the untidy effects of a wide-dispersion array.
Make Your Own Dolby Atmos Elevation Speaker?
Homemade Dolby Atmos Elevation Speaker using SVS Ultra Bookshelf as Front Firing and JBL Proiii for the Upfiring Array
You betcha! Considering how most of the patent for the Dolby Atmos Elevation speaker resides on the electronics side of the AV receiver [IE. HRTF and High Pass Filter (HPF)] we can't help but wonder why some moderately tech savvy consumers simply wouldn’t repurpose older bookshelf speakers they have lying around the house for the same function. Assuming you don’t care about matching the form factor of your existing speakers, this seems like a more economical approach, and it will likely give you more dynamic headroom if you’re actually using a quality two-way speaker versus the single 3” full range driver options currently offered by a couple of manufacturers. Please note based on the directivity requirements of Dolby, you will likely achieve better results employing a coaxial two-way speaker (like what Atlantic Tech is doing) or a single concentric two-way driver (like what Pioneer is doing).
Once you have your speaker selected, all you would have to do is angle it between 10 to 30 degrees (relative to the front firing drivers) as called out in the Dolby Atmos Elevation speaker patent. You could do this with a simple rubber wedge or Auralex MoPADS that would also provide a bit of acoustical isolation between the speakers. You would then set the HPF of the Atmos elevation channels to around 180Hz to reduce low frequency radiation or at the worst case you could employ an external HPF if your receiver doesn’t have independent crossover settings. This would certainly be a prudent solution while we wait for Auro 3D and DTS UHD so the industry can finalize a common speaker layout that will work for all of the next generation surround formats.
Procedure For Making Your Own Atmos Elevation Speaker:
- Select a smallish bookshelf speaker that can easily fit on top of your front and/or rear surround speakers (choose something with similar output and frequency response capabilities above 200Hz as your other surround channels if possible).
- Place the speaker (with the front baffle firing up towards the ceiling) on top of your front and/or rear speakers at 20 degrees using a door stop or foam wedge.
- Connect the top firing speaker to the Atmos channel of your AV Receiver.
- Set your AV Receiver HPF bass management for the Atmos channels between 150-200Hz.
- Level match and time align.
- Caution: Don't place an Atmos logo on the speaker to avoid a potential patent infringement lawsuit :)
Alternatively if you desire a more elegant solution, you could even purchase a small speaker module that is mountable on a wall with a swivel tilt bracket like the Boston Acoustics Soundwave XS Satellite speaker system. This allows you to customize the speaker angle to suite your installation needs.
Boston Acoustics Soundware Satellite Speaker Used for Atmos Height Channels
Dolby Atmos Elevation Speakers - Closer Look at the Patent
Dolby Atmos Elevation Speaker Height and Angle Specification
The optimal angle for the Atmos driver is a bit unclear according to the Dolby Patent. Here are some excerpts from the patent:
The system of claim 1 wherein the at least one speaker comprises a unitary cabinet containing both the upward firing driver and the direct firing driver, and wherein the upward firing driver is disposed at an inclination angle of between 10 degrees and 30 degrees relative to a horizontal angle defined by the direct firing driver. The upward driver (Fig. 204) may be tilted up between 20 and 60 degrees and may be positioned above the front-firing driver (Fig. 206) in the speaker enclosure (Fig. 202) so as to minimize interference with the sound waves produced from the front-firing driver (Fig. 206). A typical and effective angle for most cases is approximately 20 degrees. FIG. 6 illustrates an inclination angle of an upward-firing driver used in a virtual height speaker, under an embodiment.
It seems the typical angle should be 20 degrees and perhaps that is why Pioneer chose that elevation on their Atmos speaker system.
While it’s unclear from the Dolby patent what the ideal height would be for the Atmos Elevation speaker module, it seems apparent that Dolby recommends the front firing tweeter of the front and rear speakers to be at around ear level (seated position) and the Atmos module would just be placed on top of those speakers no differently than if you purchased an integrated solution. We would guess that as long as the Atmos Elevation modular speakers are within a few feet laterally of the companion front and rear speakers, and at least as high to about no more than two feet higher than the front and rear speakers, you’d be fine.
Dolby EQ Processing Using HRTF to Simulate Elevation
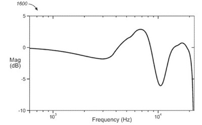
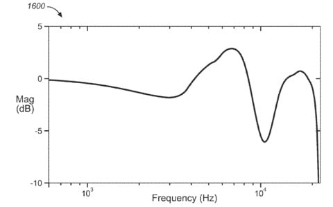
Dolby employs Head Related Transfer Function (HRTF) post processing for the height channels incorporating Atmos elevation speakers. The HRTF helps trick your brain into thinking the sound is coming from an elevated position despite that the speakers are at about ear level. The graph below represents the EQ processing Dolby Atmos AV receivers and processors will be applying to Atmos elevation speakers. This curve in combination with the acoustical properties of your head and the spacing between your ears is what makes the magic work.
As with all HRTF-based processing, the effectiveness of the simulation will greatly depend on how closely matched your own HRTFs are with the generic model used. We also suspect there will be a fairly narrow sweet spot in which the elevation illusion would be most effective.
Dolby Atmos Equalization for Atmos Elevation Speakers (source AVS Forum)
The Dolby patent calls for a filter response with a rise at 7 kHz of 5 dB followed by a drop of 7 dB at 12 kHz. While the patent claims this can be done in the speaker via a crossover network or in the digital domain via DSP processing or a combination of both, the reality is it’s typically done digitally via DSP processing in the AV receiver. It’s quite difficult and expensive to achieve such a tight response like this in the analog domain. Moreover, it's NEVER a good idea to apply boost via a passive filter network. This should be done in the digital domain. Period.
Update 9/12/14: Recent feedback from our talks with Dolby at CEDIA suggests there is some element of the HRTF employed in Atmos Elevation speakers in the analog crossover. However, we don't suspect it matches the amplitude of the above graph especially since most of the Atmos Elevation speaker specs we've read indicate a frequency response of 150Hz to 18kHz +-3dB which can't be met with a swing of 12dB (+5dB at 7kHz and -7dB at 12kHz) from the HRTF graph. We will know more as we get samples in our labs for testing.
Update 10/29/14: After close examination of the Definitive Technology A60 Dolby Atmos speaker in conjunction with figure 14A from the Dolby patent, we have discovered that a Dolby Atmos speaker does in fact incorporate a complex 8-element crossover in attempt to create a +2dB bump at 7kHz followed by a -4dB notch at 12kHz. This crossover is a one design fits all solution with values set by Dolby so a driver with a very specific DCR must be selected in order to achieve the frequency response transfer function they are targeting in figure 14B of their patent.
Also on the topic of the HRTF filter, we're curious to see the base frequency response of some of the entry level elevation speakers that have popped up. Some models like the Onkyo SKH-410 feature a single ~3" paper cone driver, which leave a few things to be desired, most notably restricted dynamic range. However, one big concern we have relates to cone breakup. Suffice it to say, at some point a 3" paper cone will no longer function in a purely pistonic manner: the cone itself will resonate, typically leading to a marked peak in response. Judging by various drivers that we've looked at in the past, that point tends to be smack dab in the middle of where Dolby's HRTF filter is working its magic. As such, we're very interested to put these speakers to the test.
Editorial Note from Dolby about EQ Processing for Atmos Speakers
In an embodiment, the adaptive audio system utilizes upward-firing drivers to provide the height element. In general, it has been shown that incorporating signal processing to introduce perceptual height cues into the audio signal being fed to the upward-firing drivers improves the positioning and perceived quality of the virtual height signal. For example, a parametric perceptual binaural hearing model has been developed to create a height cue filter, which when used to process audio being reproduced by an upward-firing driver, improves that perceived quality of the reproduction. In an embodiment, the height cue filter is derived from the both the physical speaker location (approximately level with the listener) and the reflected speaker location (above the listener). For the physical speaker location, a directional filter is determined based on a model of the outer ear (or pinna). An inverse of this filter is next determined and used to remove the height cues from the physical speaker. Next, for the reflected speaker location, a second directional filter is determined, using the same model of the outer ear. This filter is applied directly, essentially reproducing the cues the ear would receive if the sound were above the listener. In practice, these filters may be combined in a way that allows for a single filter that both (1) removes the height cue from the physical speaker location, and (2) inserts the height cue from the reflected speaker location. The above graph illustrates the frequency response for such a combined filter. The combined filter may be used in a fashion that allows for some adjustability with respect to the aggressiveness or amount of filtering that is applied. For example, in some cases, it may be beneficial to not fully remove the physical speaker height cue, or fully apply the reflected speaker height cue since only some of the sound from the physical speaker arrives directly to the listener (with the remainder being reflected off the ceiling).
This seems all well and good, but we do have another concern. A 3” or 4” driver firing off a baffle only a bit larger than the driver’s radiating area will still exhibit wide dispersion properties up to 1-2kHz. As such, if the listener is in close proximity to the Atmos Elevation speaker they will still get a good deal of direct sound fired their way despite the high pass filter applied at 180Hz. One possible way to improve things might be to high pass the top-firing driver around 1-1.5kHz and roll the rest of the content (which isn’t really associated with the height illusion anyway) into the appropriate bed channel. Another would be to make the speaker light in mass and use a relatively high motor force which will give the speaker a natively rising high end response. From there, you could utilize something along the lines of a waveguide-mounted 2” soft dome driver (similar to what Triad will be offering for their Atmos Elevation speaker) which would offer controlled directivity and better top end performance over a 3” full range paper cone driver. Though the downside to this approach would be having a wider dispersion up into the critical band being emphasized and lower native sensitivity.
When I discussed the Atmos Elevation speaker concept with Dr. Floyd Toole, one of the foremost acoustical experts in the world, he had the following to add:
Editorial Note on Atmos Elevation Speaker by Dr. Floyd Toole
Back in my days at the NRC in Ottawa, my office was next to that of Dr. Edgar A.G.Shaw, who became best known for his research in understanding the acoustics of the external ear. He was my colleague and my friend. It was he who scanned the sound field in ears with a tiny probe microphone (my ears too) with sounds arriving from different angles, and plotted the details of what we now call HRTFs. This is all documented in Journal of the Acoustical Society of America papers, and he got the Raleigh Medal Award for it. The cues for sounds arriving from above are associated with directionally sensitive resonances in the external ear in the frequency range of about 7 - 12 kHz. They can be very different for different people because our ears are all physically different. Taking an average of many ears, though, one gets a general trend indicating that as a sound source is elevated on the median plane (directly forward in this case) there is an increase in sound level reaching the eardrum at frequencies around 7-8 kHz. There is another directionally sensitive resonance in the external ear around 12 kHz, but it is much less predictable.
In a private letter to a colleague, Dr. Shaw estimated that the dominant height cue could be modeled by a resonance centered at 7.5 kHz with a Q of about 3. A level change of about 10dB would correspond to an elevation of about 45 degrees. To put this into perspective, this was 1972, 42 years ago, so none of this is breaking news. A very perceptive final comment was “For this to work without special attention to the idiosyncrasies of the subject [the listener] it would probably be necessary to use a broadband source (e.g. white noise, clicks, etc.).” Clearly this phenomenon was well understood many years ago.
An individualized version of this is already “built-into” our ears, so it does not need to be added by an EQ. However, doing so may add to the impression of elevation in sounds that we are not familiar with. Obviously people with high-frequency hearing loss cannot hear this, and if this is to be reproduced by loudspeakers some intimate knowledge of the high frequency performance of the drivers would be necessary. With 3-4-inch paper drivers this might fall within the production tolerances of less than impeccable drivers, making electrical EQ without acoustical measurements something of a gamble.
So with strong individual differences, and no idea of what the spectrum of the elevated sound is, we have a somewhat messy situation. What has been observed since then is if you turn up the spectrum in that range there is an enhanced sense of elevation - in some, not all, people, with some, not all, sounds. In real life, of course, we don’t know the spectrum of the sound when it is at ear level, so we don’t know what to expect when it is elevated. Some wise people think that we clever humans use head movements, tilts, to subconsciously explore our environments, thereby learning what something might sound like if it were elevated.
All that said, there is every reason to believe that high-frequency transient sounds are very likely to be localized at or near to the ceiling if high frequency energy, whatever its spectrum, is reflected back to a listener. In real life humans use these cues to localize sounds in complex environments and, once localized, they well tend to stay there even after the transient information has passed. It is a version of the “ventriloquism effect” that works so well with visual images. However, it is not likely that it will equal the illusion of a real full spectrum elevated sound source.
Update: 9/12/14: At CEDIA, 2014, Dr. Floyd Toole made a presentation regarding the directionally sensitive resonant modes in the external ear and our strong reliance on high frequency transients for localization. He demonstrated that the Dolby EQ curve did NOT agree with this science, and wondered if it could be improved or even eliminated since the human ear already accounts for it. He also showed that there is more predictability with resonances than nulls for creating the elevated perception of sound.
For more information, see: HRTF and Loudspeakers: Are they really needed?
How Do Atmos Elevation Speakers Get Calibrated?
I was curious how auto-EQ and setup systems would calibrate an Atmos Elevation speaker so I fired off an email to a couple of companies either related to room correction systems or designers of Atmos Elevation speakers, or both. First up was Chris Kyriakakis from Audyssey.
Audyssey
AH: How does the auto setup determine the distance and level for Atmos Elevation speakers since it’s relying on bouncing the sound but also getting directional sound below 1-2kHz? I believe this can offer variable and often non-ideal results.
Chris: Yes, this is a challenge. To minimize variability, Audyssey MultEQ determines the direct path distance to the speaker as it does with all speakers. Simple trigonometry can be used to find the distance from the ceiling reflection. The user can enter the ceiling height of their room or a standard ceiling height (8ft) can be used in the calculation. Since the information from the Atmos Elevation speakers is mostly ambient and not used for imaging, the importance of precise delay isn’t as critical. In any case, if your ceiling is higher than 8’ you can manually add the extra distance to the up firing speakers.
AH: Is there a different EQ and bass management setting for reflective speakers vs. ceiling mounted direct speakers firing down?
Chris: EQ questions for these speakers are best answered by Dolby. Audyssey complies with the requirements by implementing the target curves after the in-room measurements are taken.
AH: How does Audyssey attempt to match the Atmos XFER function if the measurement mic is measuring the driver so far off axis?
Chris: Audyssey measures the response arriving at all the ear-level mic positions in the listening area. It doesn’t matter how the sound got there. The filters will create a correction solution based on the information received at the microphone and then apply the required target curve.
AH: Do you think matching directivities between front and top mounted drivers is important when the top mounted driver is going through such drastic EQ’ing per Atmos requirement as you can see by the attached XFER function?
Chris: Matching directivities between front firing and Elevation drivers is an elusive goal that is already not met in most 5.1 surround systems. For example, horizontal center speakers have drastically different directivity from their vertical L and R counterparts. Directivity matching is not something that room EQ can perfectly achieve. However, using multiple measurements to inform the room correction filters of the spatial frequency response variation is a big step in that direction.
Pioneer
Next up I interviewed Andrew Jones of Pioneer based on his new Pioneer Elite Atmos Elevation speakers and Pioneer MCAAC calibration found in their Elite AV receivers.
AH: Is there a different EQ and bass management setting for reflective speakers vs. ceiling mounted direct speakers firing down?
Andrew: Yes, there is different bass management for ceiling speakers versus the Atmos enabled speakers. In the case of the Atmos enabled speakers, given that they are typically quite small and therefore restricted in bass output, and Dolby recognize this in their minimum performance requirements, the bass management in our receivers sets the enabled speakers to 180Hz. All frequencies below this are then channeled to their respective forward firing drivers. Thereafter, if that forward speaker is set to small, at some other crossover frequency, all the remaining signal is directed to the subwoofer, as normal. It is a two step re-direction.
If one is using ceiling speakers with their typically more extended low frequency response, then these will be bass managed in an identical manner to the main and surround speakers. Pioneer's MCACC keeps the same bass management crossover frequency for all channels in this configuration.
Within MCACC setup, the user is asked to choose which setup they have, Atmos enabled or ceiling speakers, so MCACC doesn't have to try and guess what setup is being used. There is no difference in the EQ settings within MCACC for these two configurations.
AH: How does MCAAC calculate the EQ, level and distance for Atmos enabled speakers?
Andrew: In calculating the distance, MCACC uses a pulse type test signal, and so it is easily able to identify the fact that the primary signal it receives is via the ceiling bounce for an enabled speaker source. When we have done our setup in our listening room, it has accurately detected a source that is effectively approx 20' away (even though the physical speaker was only around 10' away) and is able to adjust delay and level appropriately.
AH: How does it attempt to match the Atmos XFER function if the measurement mic is measuring the driver so far off axis?
Andrew: If you think about how the ceiling reflection works, you have effectively an extra speaker mounted as though it were equally above the ceiling as the enabled speaker is below. Also the reflected speaker axis is directed toward the listener because of the 20 deg angle tilt. At this height you are not that far off axis compared to the angle you subtend to the real speaker, so there is no drastic EQ needed to compensate for the off axis response of the reflected image. Because of the specific directivity requirements for the enabled speaker, there is not so much direct sound coming from the enabled speaker in the frequency range where it matters for vertical sound source image localization.
AH: Why do you think matching directivities between front and top mounted drivers is important when the top mounted driver is going through such drastic EQ’ing per Atmos requirement as you can see by the attached XFER function?
Andrew: In any multi channel system (and that includes stereo!) I believe directivity matching of the drivers is important for setting up stable imaging and best room matching. Additionally, identical phase responses of all the drivers is critical to good imaging, so I presume this helps with the Atmos imaging process. The HRTF crossover function response is a red herring as far as directivity matching is concerned.
Regarding Matching Loudspeaker Directivity Between Speakers
While I certainly respect Andrew's opinion on the importance of matching directivities between front firing and upfiring Atmos Elevation speakers, I don't completely agree with it. The majority of the sound you will be hearing from the Elevation speaker will be diffuse and the HRTF will certainly alter the response significantly compared to the front firing drivers. Most people don't have the luxury or desire of buying integrated Atmos speaker solutions with matching directivities hence why the Atmos module or even making your own Atmos module would be a prudent alternative assuming they don't instead go the route of discrete ceiling mounted speakers.
Conclusion
It’s interesting to hear the opinions about Atmos Elevation speakers from the various industry experts briefly interviewed herein. What seems apparent is that Atmos Elevation speakers aren’t designed to deliver precise sound reflected from the ceiling back to the listener as much as they are designed to deliver virtual height to increase the vertical soundstage of the experience. When dealing with Atmos Elevation speakers vs. conventional ceiling mounted alternatives, the former are relying on mostly high frequency bouncing to create the illusion of height and the success of this depends largely on ceiling height, ceiling material, speaker placement and how each individual perceives the HRTF processing.
If your goal is to stay true to the source or director’s intention, then you most likely will want to put a little more effort into mounting ceiling speakers. This is especially true if you plan on supporting future surround formats such as DTS UHD and Auro-3D as Atmos Elevation speakers may not be compatible with either. Ceiling mounted speakers will likely be better able to handle discrete channels if you upgrade to a different system later on. Larger ceiling mounted speakers can also be an advantage if you already have a high caliber speaker system with excellent dynamic range that far exceeds most of the Atmos Elevation speaker alternatives we’re seeing so far. However, the two biggest hurdles to ceiling mounted speakers is the ability to install them and the WAF. This is where Atmos Elevation speakers will likely win in spades. If you just want to increase overall height presence to your surround experience and have the means to simply add Atmos Elevation speakers to your current setup, this approach has merit.
We look forward to evaluating and comparing both approaches in our own listening labs and at the various demos at CEDIA in the coming weeks.
Please be sure to regularly check out our Industry Feedback Page for comments manufacturers and/or well respected industry folks on their thoughts about the Atmos Elevation speaker technology.
Acknowledgements
I would like to personally thank the following people for their contributions and/or peer review of this article, all of whom are true experts in their respective fields. Their contributions enabled us to make the most comprehensive and accurate article possible about the new Dolby Atmos Elevation Speaker technology.
- Dr. Floyd Toole, retired VP Acoustical Engineering, Harman International ; Published Author of: Sound Reproduction Loudspeakers & Rooms
- Paul Apollonio, CEO of Procondev, Inc.
- Steve Feinstein, Industry Consultant
- Chris Kyriakakis of Audyssey
- Andrew Jones of Pioneer Electronics
- Paul Scarpelli, former Director of Sales and Marketing Triad Speakers
Dolby Atmos Elevation Speaker Industry Feedback
This page is reserved for manufacturer and industry feedback and will be updated regularly (if needed).
Paul Scarpelli, former Director of Sales & Marketing of Triad Loudspeakers
I have some initial problems with Atmos for home systems. Speakers firing at the ceiling (and cheap speakers, at that) create and solve the same basic problems of dipoles. I don’t like using room reflections in a system for all the reasons my friend Floyd doesn’t approve of them. My preference; which is also Jim Fosgate’s preference; is to use ceiling speakers for height channels. There are problems with most ceiling speakers, as you know. Most are cheap sonic horror shows. The good ones (Triad, et al) are costly. And installation will be an issue. I use an in-ceiling speaker system in my office, using three $2,000 each Triad Gold MiniMonitors (Scan-Speak 7” Revelator with a nice Seas tweeter), and the fidelity is good. The speakers have angled baffles, and diffraction is dealt with by using two types of foam. The grills came from the factory custom painted to match the ceiling, and they are essentially invisible. It would make great sense to use ceiling speakers that used similar (or the same) drivers as the three front speakers, for proper timber matching (for lack of a better term).
I think home Atmos implementation will be too complex for anyone other than an audio propellerhead, and it will have little chance of success. It seems to me it’s a marketing exercise to sell more speakers and amplification channels. A proper 5.1, 6.1, 7.1 or various .2 systems in treated rooms will outperform most Atmos installations. We’ll see. And we are also seeing the demise of dedicated home theater, which Atmos will require.
Gary Yacoubian, President and Managing Partner SVS | Specialty Technologies
We are fans of the Dolby Atmos experience but not fans of the ceiling reflection based speaker executions. Ceilings are notoriously unpredictable in their reflective properties and a home theater is only as good as its weakest link. Direct radiation is the way to go, we think. We will have a ceiling mountable solution very soon!!”








